在开关电源的计算中,往往涉及到三角波电流(如图1)的计算,本内容详细的介绍其平均电流Iavg、均方根RMS以及交流分量的计算。
1、平均电流Iavg的计算

图1 三角波电流
作出 Iavg 的辅助线,使得长方形的面积等于三角形的面积,周期Tswitch = t1+t2+t3。
通过式①即可推导出Iavg:

更一般的推导→通过积分的方式计算:
函数i(t) 在0~Tswtich 区间内积分,由于整个 t3 时间的 i(t) = 0,故求取的就是三角形的面积。此面积除以 Tswtich 就得到 Iavg 的值。
2、均方根RMS的计算
均方根值Vrms即 Root Mean Square 的缩写。指在一个周期内对信号平方后积分,求平均再开方。根据定义即可得到公式④:

对式④的

求取积分(本质就是求和),推导过程如下:

图2 i(t)图形
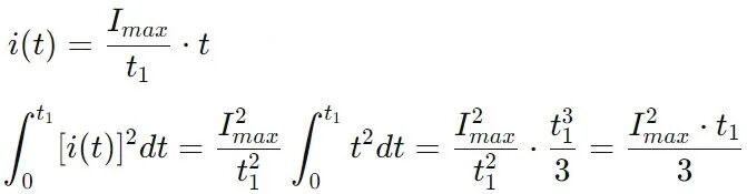
(1)上升阶段(0~t1),如图2的红色线
电流上升阶段:电感通过产生反向电动势延缓电流增长速率,表现为电流上升的滞后性。

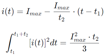
(2)下降阶段(t1~t1+t2),如图2的绿色线
电流下降阶段:电感通过维持原有电流方向的电动势减缓电流衰减,形成电流延续效应。

对于峰值为 Imax 的三角波电流,在 t1+t2 时间内的平方积分为:

所以三角形电流的均方根RMS 的计算如公式⑤:

3、交流分量的计算

备注:有关公式来自于 TI 官方 Power Stage Designer Tool 的 Power Topologies Handbook。

- 随机文章
- 热门文章
- 热评文章
- 无缘女子10米气手枪奖牌,李雪、姜冉馨收拾心情冲击混团
- 苹果iPhone 16 Pro机模曝光 唯一变化新增拍照键
- 玩水好时节,这些事情要注意
- 中外专家联合诊疗 为肿瘤患者开启多元化选择
- 华为pura70pro+ vs VIVO x100s pro 谁更强?
- 奶爸带娃-小朋友还小,给他(她)买个平衡车吧!因为,骑平衡车对小朋友的好处,太多了!
- “感染异常增多”!世卫警告,专家提醒
- CPB粉扑
- 2024(第三十届)中国月饼文化节开幕式举行 2024年中国月饼行业市场趋势报告发布
- 严把关 把“盐”关 怀化市洪江区市场监管局开展食盐质量安全专项整治
- 商业贸促会向全国发出“低碳商务楼宇创建行动”倡议
- 2024贸促出海-东盟供采招商会印度尼西亚站圆满收官
- 高端饮用水市场风起云涌,战火不消,农夫、娃哈哈、宾利集团·中梦泉,谁将称雄?
- 1东北地区“国优计划”研究生培养共同体在长春成立
- 2首届全国农产品质量安全科普大赛线上展播即将启动
- 3新疆霍尔果斯:筑牢食品安全底线 守护游客美好“食光”
- 4中国贸促会商业行业委员会2023年人才培养十大新闻
- 5爆品再推新!每款都是今夏爆款风向标,速抢代理!
- 6“感染异常增多”!世卫警告,专家提醒
- 74支国家医疗队在贵州开展巡回医疗 服务群众5000余人
- 8河南通许县市场监管局局长带队深入企业检查指导春节前食品安全生产工作
- 9中国行业报协会年度工作会议在京举行
- 10上海虹桥机场口岸今年以来免签入境旅客超2万人次
- 11酸汤鲜切牛肉火锅怎么样?鼎级牛火锅招商加盟好不好?
- 12关于2024年检验检测机构“双随机、一公开”监督抽查结果的通报
- 13福州“侨界足迹·侨乡新貌”优秀摄影作品开展
- 1RAZER 雷蛇 Kaira Pro 噬魂鲨无线耳机
- 2MOUNTAIN HARDWEAR 山浩 Scrambler 25 徒步背包
- 3Backcountry Destination 旅行背包 20L
- 4China Mobile 中国移动 小鱼卡 半年9元月租(80G流量+本地归属+首月免费)送40E卡
- 5HKC 发布 G27H3 猎鹰游戏显示器,280Hz 刷新率、1080p IPS1199元
- 68月要来了,买手机可以选这3部机型,高配低价口碑爆棚
- 7果汁、气泡水、柠檬茶、电解质饮料——2024夏日饮料推荐
- 8iPhone16来了,买?不买?
- 92025杜卡迪Panigale V4海外发布,增加eCBS延迟刹车入弯
- 10AI公文写作哪家强?2024年4款最强AI公文写作工具推荐-附深度测评
- 11【图吧小白教程】显卡VBIOS备份(GPUz)
- 12雷军解释小米SU7名字由来——7指大小,5米车长、3米轴长C级车!
- 13玩模总动员:天灾,无可阻挡!HEX 《炉石传说》巫妖王阿尔萨斯 1/10 雕像开箱














